Octet® 生物层干涉 (BLI)
多功能系统,适用于发现、开发和质量控制流程
生物层干涉是一种光学分析技术,生物层干涉技术可以监测白光经两个表面反射形成的干涉图谱;一个是生物传感器尖端上固定蛋白的表面层,另一个是内部参比层。当溶液中的分析物与固定在生物传感器上的蛋白质(配体)相结合,光学厚度会随之增加,使干涉图谱发生位移,从而形成波长位移。
Octet® R8蛋白质分析系统的优势
根据具体的测定方法,
8通道Octet® R8系统可在30分钟至2.5小时内对多达96个样品进行定量和动力学分析。
可选的微孔板防蒸发盖可最大限度减少样品体积的损失,即使在实验后也可回收分析后的样品。
Octet® R8系统可用于广泛的分析,包括动力学分析、IgG和其他蛋白质的效价、试剂鉴定、免疫分析开发、生物过程开发、质量分析、粗抗体筛查、表位分选/作图、配体结合分析、小分子分析,阐明细胞信号传导机制和传染病监测。
可以使用单个通道或最多八个通道进行分析,从而实现样品通量的灵活性。
无与伦比的灵活性和多功能性 - 八个并行、独立的通道可提供最大的速度、灵敏度和灵活性
无人值守运行时间 – 可选的防蒸发盖可确保最长12小时的无人值守运行,同时最大限度减少样品量损失,即使在实验后也可回收分析后的样品
升级到GxP - Octet® R8 GxP产品包后可结合21 CFR Part 11软件以及IQOQPQ套件、协议和服务使用,以实现法规合规性。当计划从非GxP系统升级到GxP系统时可选择该产品包以符合法规要求。
高质量动力学筛选和亲和力表征
应用
动力学和亲和力表征
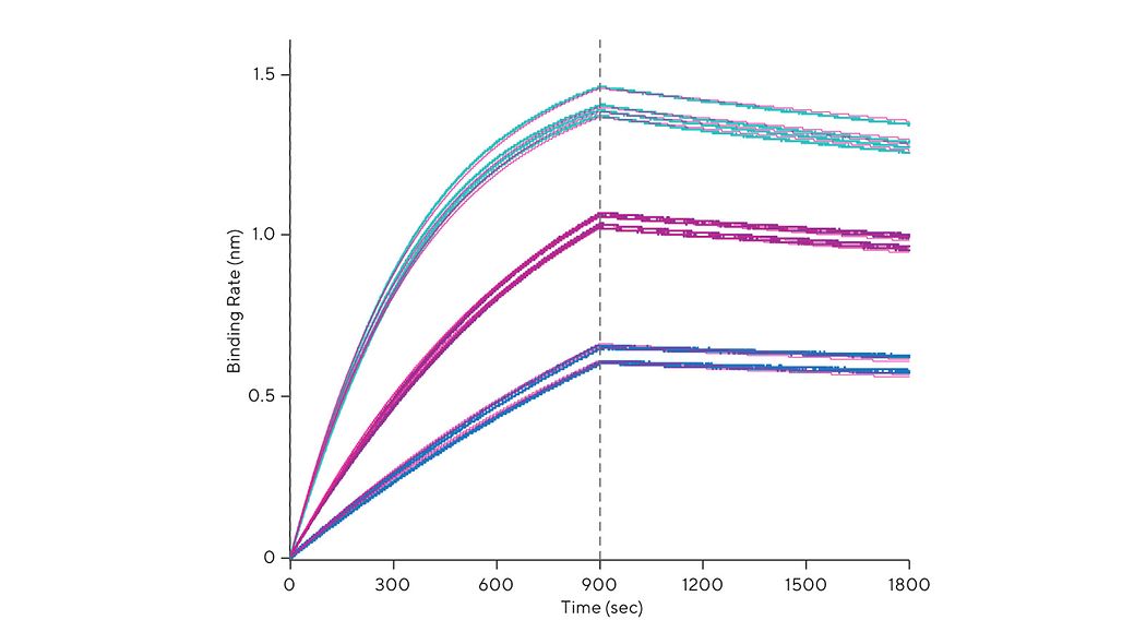
Octet® R8系统的出色灵敏度可在较大范围内测量大小分子以及动力学常数。该系统可将检测表面直接定位到样品上,精确测量动力学常数,无需使用微流路技术。生物传感器随时可用,适用于大多数蛋白质;独特的浸入即读技术简化了工作流程、加快了测定开发。仅适用较少的仪器维护即可直接测量粗样品。

生物工艺中的蛋白质定量
使用简单的一步测定法,每个样品只需2分钟即可确定准确且可重复的浓度,而整个96孔板只需32分钟即可确定准确且可重复的浓度。通过增加读取时间和摇动速度,可以轻松实现定量的高灵敏度,并且使用2步或3步测定格式甚至可以达到亚ng / mL水平的更高灵敏度,从而自动测量宿主细胞等污染物蛋白质和残留蛋白A(检测试剂盒),比ELISA更快、更准确。生物传感器能够再生和重新使用,进一步提高了工艺经济性。

质量控制(QC)和制造
Octet® R8系统可在规定的质量控制(QC)环境中可靠运行。Octet® 适合用于批次放行的方法开发和验证,以及上下游工艺中配体结合、浓度和杂质分析的工艺测试。易于使用、设计简单,再加上21 CFR Part 11软件以及全系列的GxP产品和服务,让Octet® R8系统成为合规实验室的理想分析仪器。

相关产品

